BERITA

BERITA SMA NEGERI 1 KERTEK

SMA NEGERI 1 KERTEK WONOSBO

SMA NEGERI 1 KERTEK WONOSBO

Mudahkanlah, jangan dipersulit!

Kamis, 13 Mei 2021 08:45

SELAMAT HARI RAYA IDUL FITRI 1442 H

Halo gaes, SMA Negeri 1 Kertek akan mengadakan pemilihan OSIS Tahun Pelajaran 2020/2021 Lho, Untuk pendaftara dan tatacara pendaftaran bisa klik pada link di bawah ini ya :

1. Formulir Pendaftaran OSIS 20/21

2. Pendaftaran OSIS 20/21

3. Tatacara Pendaftaran

Pamlet Osis

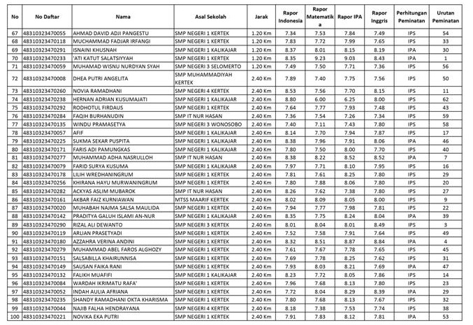
DAFTAR SISWA YANG DITERIMA DI SMA NEGERI 1 KERTEK TAHUN PELAJARAN 2020 2021

ZONASI 1

ZONASI 2

ZONASI 3

ZONASI 4

 

 

PRESTASI 1

PRESTASI 2

 

AFIRMASI

PERPINDAHAN ORANG TUA

Cari

Pengunjung

2238805
Hari ini
Minggu Lalu
Bulan lalu
Semua
4417
2096619
97716
2238805

Your IP: 216.73.216.218
2026-03-15 18:15